Cancer-Causing Pathways And Detoxification Of HMW-PAHs In Mammals
Abstract
High molecular weight polyaromatic hydrocarbons (HMW-PAHs) are environmentally ubiquitous and recalcitrant chemicals containing four or more fused benzene rings in their chemical structures and cause cancer in mammals. This article discusses the pathways by which HMW-PAHs cause cancer, how they are detoxified, and the chemical and physical factors that affect their carcinogenicity in mammals, and all of these discussions include links for relevant research studies. These extremely hydrophobic chemicals enter the mammalian cell via the adsorption-desorption and passive diffusion processes. In the cell, HMW-PAHs are converted into metabolites: namely the epoxides, quinones, reactive oxygen species, and carbonium ions by the dihydrodiol-epoxide, the quinone-cation, radical-cation, and the sulfonation pathways catalyzed by various enzymes. These metabolites covalently bond with the DNA to form adducts that lead to cancer. There are also detoxifying enzymes present in the mammalian cell that convert the cancer-causing metabolites into water soluble, excretable chemicals. There is a complex, dynamic environment inside the cell exposed to HMW-PAHs where cancer-causing and detoxifying enzyme-catalyzed chemical reactions occur and could be affected by chemical and physical factors. This easy-to-read article attempts to show this complexity while also educating the reader about the basics of how HMW-PAHs cause cancer and how the mammalian body detoxifies them.
Keywords: Cytochrome P450s; dihydrodiol epoxide pathway; fjord and bay regions; glutathione S-transferases; high molecular weight polyaromatic hydrocarbons; nitrenium ions; quinone oxidoreductase; quinone-cation pathway; radical-cation pathway; sodium arsenite; sulfonation pathway; sulfotransferases; UDP-glucuronosyl transferases
Key points
- High molecular weight polyaromatic hydrocarbons (HMW-PAHs), extremely hydrophobic chemicals containing four and more fused benzene ring structures, enter the mammalian cell via the adsorption-desorption and passive diffusion processes analog to the cellular uptake of cholesterol.
- The epoxides, quinones, radical cations, and carbonium ions are formed in enzyme-catalyzed cancer-causing pathways: namely the dihydrodiol epoxide pathway, the quinone pathway, the radical cation pathway, and the sulfonation pathway. These metabolites bind to the DNA to form DNA adducts which in turn cause cancer.
- Cytochrome P450 oxidoreductases, quinone oxidoreductases, glutathione S-transferases, UDP-glucuronosyl transferases, and sulfotransferase are enzymes involved in detoxifying the metabolites of HMW-PAHs formed in the cancer-causing pathways by converting them into water soluble, excretable chemicals.
- Functional nucleotide excision and mismatch repairs are DNA repair mechanisms that also prevent cancer.
- Quinones and nitrenium ions, higher number of fjord regions on and steric constraint in the HMW-PAH increase the carcinogenicity of the HMW-PAHs while the presence of lead, cadmium, mercury, and arsenic, and zinc decrease the carcinogenicity of the HMW-PAHs.
What are HMW-PAHs?
Polyaromatic hydrocarbons (PAHs) are chemicals that contain fused benzene rings in their chemical structures. Low-molecular weight polyaromatic hydrocarbons contain two or three fused benzene rings, while high-molecular weight polyaromatic hydrocarbons (HMW-PAH) contain four or more fused benzene rings in their chemical structures. Flouranthene and chrysene are examples of HMW-PAHS.
Where are HMW-PAHs found?
They are environmentally ubiquitous, meaning they are widespread in the environment. They occur naturally in fossil fuels including in crude oil where they account for at least 16% by weight of crude oil. They are also found in coal products including in tar, in volcanoes, in forest fires, and could be released into the soil and water through oil spills and into the air through the burning of material containing them including cigarettes and tobacco and the smoke from these contains benzo[a]pyrene, a HMW-PAH known to causes cancer.
HMW-PAHs are an environmental and health concern
HMW-PAHs are recalcitrant in the environment, i.e. they stay in the environment for a long time due to their physical and chemical properties. Due to their chemical structures, they have a melting point of greater than 100oC and therefore are solid at room temperature. Although they do not volatize, they are very hydrophobic. For example, the water solubility of benzo[a]pyrene is only 1.83 x 10-3 mg per liter of water while indeno[1,2,3-c,d] pyrene, also a HMW-PAH, is insoluble in water. An increase in the number of and the angularity of benzene rings in their chemical structures increase their hydrophobicity. Therefore, their ability not to volatize and not to dissolve in water make them stay in the environment for a long time, even more than 1,400 days which is how long benzo[a] pyrene could stay in the environment.
The United States Environmental Protection Agency designated sixteen HMW-PAHs as High Priority Pollutants including benzo[a]pyrene not only because their recalcitrant nature causes them to accumulate in the environment but also because of their toxicity. HMW-PAHs could photo-oxidize to form quinones which cause cancer and studies have shown that HMW-PAHs are carcinogens – meaning they have the ability to cause cancer.
The correlation between cancer and exposure to HMW-PAHs
Numerous research studies have shown a positive correlation between exposure to HMW-PAHs and cancer. These studies showed:
- there is a substantial risk in getting lung, skin, and bladder cancer due to exposure of HMW-PAHs from diesel exhaust.
- benzo[a]pyrene causes human colon cancer cells to form DNA adducts.
- exposure to high doses of ambient PAH is correlated to DNA damage in humans.
This article discusses how HMW-PAHs enter the mammalian cells, cause cancer, and are detoxified, all discussed using benzo[a]pyrene as a model because it is one of the most well-studied HMW-PAH in toxicology research.
Mammalian exposure routes for HMW-PAHs
Inhalation, ingestion, and dermal contact are the three major routes for exposure to HMW-PAHs in both occupational and non-occupational settings and these routes are interlinked to each other. HMW-PAHs released from oil refineries and tobacco smoke could pollute the air. From the air, via the deposition process involving rain, the HMW-PAHs could get into the soil and by leaching and run-off, they could eventually get into the water and mammals could ingest this water. HMW-PAHs could also get into the water through accidental oil discharge and emission from industrial operations. The HMW-PAH contaminated air could be inhaled and dermal contact in mammals could occur when the HMW-PAHs in the soil is in contact with the mammal’s skin.
How HMW-PAHs enter the mammalian cell
The benzo[a]pyrene microcrystals enter the mammalian cell as shown in Figure 1. The uptake process into the cell and into the cellular components does not depend on endocytosis. Rather it involves the adsorption-desorption process and passive diffusion, and the rate constants for these depend on several factors including the cell size. Benzo[a]pyrene becomes a part of the extracellular low density lipoproteins (LDLs) by the adsorption process. It then diffuses through the aqueous phase and could spontaneously transfer to other LDLs and to the plasma membrane of the cell via the adsorption-desorption process. From the cell plasma membrane, it is transferred to the cytoplasmic lipid droplets and also to lipoprotein particles, both inside the cells. The cellular uptake mechanism of benzo[a]pyrene is analog to the cellular uptake of cholesterol. Covalently-bound and immobilized metabolites of benzo[a]pyrene have been found in the nuclei. How these metabolites of benzo[a]pyrene are formed and how they cause cancer is discussed next.

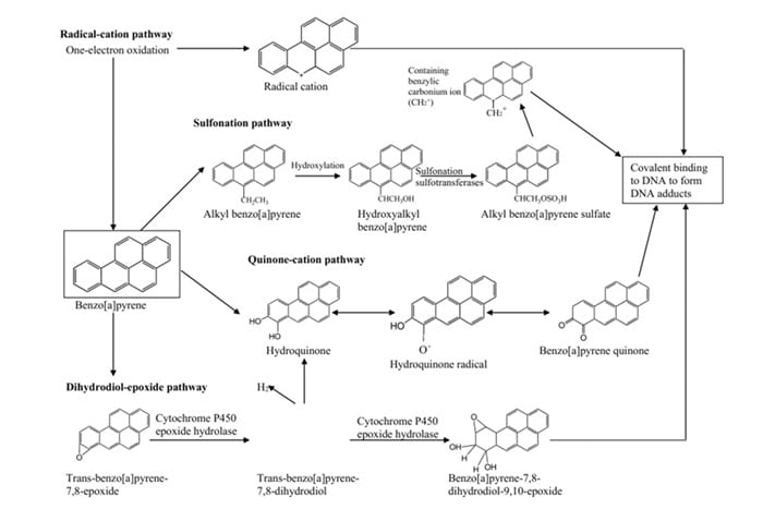
In mammals, HMW-PAHs cause cancer by three major pathways: the dihydrodiol epoxide pathway, the quinone-cation pathway , and the radical-cation pathway. There is also a minor pathway: the sulfonation pathway that occurs when the PAH is hydroxylated. These cancer-causing pathways for benzo[a]pyrene are outlined in Figure 2.

In the dihydrodiol epoxide pathway, the most common pathway, benzo[a]pyrene is metabolized to trans-benzo[a]pyrene-7,8-epoxide and then to the potent carcinogen trans-benzo[a]pyrene-7,8-dihydrodiol by the enzyme cytochrome P450 epoxide hydrolase. This enzyme further metabolizes the dihydrodiol into an epoxide that covalently binds to the DNA to form DNA adducts and these adducts cause DNA mutation leading to tumor formation.
In the quinone-cation pathway, benzo[a]pyrene is oxidized, resulting in an electrophilic cation, namely the hydroquinone radical and it is a reactive oxygen species that could attack the DNA after forming a quinone. Cations are also formed by the oxidation process in the radical cation pathway.
The sulfonation pathway
In the sulfonation pathway, an alkyl benzo[a]pyrene (benzo[a]pyrene containing CH2CH3) is formed by alkylation and it is hydroxylated, forming a hydroxyalkyl benzo[a]pyrene (benzo[a]pyrene containing CHCH3OH). This in turn could undergo sulfonation, a chemical reaction catalyzed by sulfotransferases in which a hydrogen atom is replaced by a sulfonic acid group to form an alkyl benzo[a]pyrene sulfate (benzo[a]pyrene containing CHCH3OSO3H). The sulfur group could be eliminated in further metabolic reactions, forming a benzylic carbonium ion which in turn forms DNA adducts in mammals including in polar bears. All of these reactions are illustrated in Figure 2.
The sulfur for the sulfonation process could originate from sulfur dioxide, a gas mainly emitted from industrial operations into the air. Sulfur dioxide mixes in water to form hydrated sulfite anions and these anions undergoes two reactions:
- an oxygenation reaction with benzo[a]pyrene-7,8-diol to form an epoxide.
- a reaction with the epoxide to form a sulfonate which is more stable than the epoxide and covalently binds to the DNA to form DNA adducts.
Two key points are implied from the sulfonation pathway:
- Sulfur dioxide makes benzo[a]pyrene a potent carcinogen.
- Benzo[a]pyrene diol and epoxide, formed in the dihydrodiol-epoxide pathway in Figure 2, could also undergo sulfonation, showing that metabolites formed from one pathway could be used in another pathway.
From metabolites to cancer
The benzo[a]pyrene adducts occur when the metabolites formed from the cancer-causing pathways (Figure 2) covalently bind to the nucleophilic group on the DNA to form DNA adducts. This binding causes mutation in the DNA, giving rise to cancer.
Could the mammalian body detoxify HMW-PAHs including benzo[a]pyrene to prevent cancer?
Yes, it could and the liver is the major site where HMW-PAHs including benzo[a]pyrene are detoxified. There are several detoxifying enzymes in the liver that convert the diols, epoxides, sulfonates, and cations formed in the cancer-causing pathways (Figure 2) to detoxified, polar, water-soluble metabolites that could be excreted from the body. The following are the detoxifying enzymes:
Cytochrome P450s
The cytochrome P450s are a family of enzymes and while some cytochrome P450s, namely cytochrome P450 A1A and 1B1, catalyze the activation of benzo[a]pyrene to cancer-causing metabolites in Figure 2, others including cytochrome P450 oxidoreductase catalyze the detoxification of benzo[a]pyrene. Studies have shown that cytochrome P450 oxidoreductase is required for detoxification of benzo[a]pyrene.
Glutathione S-transferases
Glutathione S-transferases are another family of enzymes known to detoxify benzo[a]pyrene via conjugation, a detoxification process in which the glutathione from this enzyme binds to the benzo[a]pyrene, resulting in a large, polar molecule excreted from the body.
It is common for certain chemical as supplements to have a positive effect on enzyme activities in different ways. One such chemical is 2(3)-tert-butyl-4-hydroxyanlsole (called BHA), an antioxidant, and when tested as a dietary supplement, BHA led to an increase in the production of glutathione S-transferase in the liver which in turn detoxified benzo[a]pyrene.
UDP-glucuronosyl transferases
UDP-glucuronosyl transferases (UGTs) are also important enzymes involved in the detoxification of benzo(a)pyrene by glucuronidation. In addition to different classes of UGTs expressed by different tissues for the detoxification of benzo[a]pyrene, isoforms, i.e. variants of an enzyme with the same function, of UGT, namely UGT1*6 and UGT2B7 have the ability to glucuronidate a variety of hydroxylated benzo[a]pyrene metabolites. Like glutathione S-transferase, UGT also has a chemical inducer: oltipraz, and a study showed that it induced UGT activities to detoxify 7,8-dihydro-7,8-diol-benzo[a]pyrene.
Sulfotransferases
The sulfotransferases are a family of enzymes that detoxify benzo[a]pyrene by sulfonation. This reaction could involve isozymes and produces polar sulfate-containing metabolites. For example, SULT1A1 is an sulfotransferase isozyme produced in human lung cells and it converts benzo[a]pyrene-7,8-catechol to 8-hydroxy-benzo[a]pyrene-7-O-sulfate, a polar detoxified metabolite excreted from the body.
NAD(P)H:quinone oxidoreductase
The NAD(P)H:quinone oxidoreductase called NQO1 are two-electron reducing enzymes and they form hydroquinones from quinones, which is different than one-electron reducing enzymes such as the cytochrome P450s which form semi-quinones, the highly reactive oxygen species. NQO1 could reduce the amount of benzo[a]pyrene-DNA adducts that cause cancer. Also, NQO1 along with the other detoxifying enzymes could be present simultaneously to detoxify benzo[a]pyrene and the cancer-causing metabolites, namely the hydroxides, diols, and diones.
Detoxifying mechanisms other than detoxifying enzymes
DNA repair mechanisms in mammals other than detoxifying enzymes include functional nucleotide excision repair and mismatch repair. In nucleotide excision repair, a damaged region of the DNA is removed and replaced with a new synthesized DNA strand. In mismatch repair, wrong nucleotides in the DNA, occurring due to mutation, are recognized, excised, and replaced with the correct nucleotides.
Factors that affect the carcinogenicity of HMW-PAHs
The concentration of HMW-PAH and chronic inflammation elicited by the HMW-PAH are factors that affect the carcinogenicity of HMW-PAHs. Other factors are:
- the presence of quinones and nitrenium ions
These increase the carcinogenicity of HMW-PAHs. The quinones, produced during the cancer-causing pathways for benzo[a]pyrene in Figure 2, form DNA adducts leading to cancer. Nitrated PAHs are more carcinogenic than quinones because they produce nonacetylated and acetylated metabolites. These metabolites form nitrenium ions that react with the DNA to form highly potent DNA adducts, more potent than produced by the quinones and cause tumors.
- fjord sites on the HMW-PAHs
The shape of the bay and fjord regions in a HMW-PAH is akin to the bay and fjord regions physically: bay, where the land curves inward near the sea, and fjord, a long, narrow inlet of land near the sea. The three-sided space shaped like a bay between the upper and lower rows of fused aromatic rings in the benzo[a]pyrene structure in Figure 1 is the bay region and the four-sided space shaped like a fjord between the upper and lower rows of fused aromatic rings in dibenzo[a,l]pyrene on the left in its structure is the fjord region. Different HMW-PAHs have different number and combination of bay and fjord regions. For example, dibenzo[a,l]pyrene has one fjord and one bay region while benzo[a]pyrene has one bay and no fjord regions. Studies have shown that HMW-PAHs containing the fjord region are more carcinogenic and produce tumors faster than HMW-PAHs containing only the bay region.
- steric constraints in the HMW-PAH structure
When there is congestion of oxygen atoms in the benzene ring structure, i.e. when the oxygen atoms connected to the carbon atoms in the benzene ring are crowded, this crowdedness is known as steric constraint because it prevents certain chemical reactions from occurring. HMW-PAHs containing several fjord regions could have steric constraint in their chemical structure. Dibenzo[a,l] pyrene is an example of a HMW-PAH containing steric constraint in its chemical structure. It is more carcinogenic than benzo[a]pyrene which does not have steric constraint in its chemical structure, implying that carcinogenicity of HMW-PAHs is correlated with steric constraint in their chemical structures.
- aging of the HMW-PAH
A study showed that the carcinogenicity of some HMW-PAHS decreases with their aging. Examples of such HMW-PAHs include benzo[a]pyrene and 9,10-dimethyl-1,2-benzanthracene.
- metals
HMW-PAHs are soil pollutants: they get in the soil from oil spill, run off from water, or from the atmosphere. Also found in the soil are metals that could affect the enzymes in the cancer-causing pathways (Figure 2) and these include mercury, lead, cadmium and arsenic. These metals could decrease the carcinogenicity of benzo[a]pyrene by reducing the production of cytochrome P450 A1A, the enzyme involved in the cancer-causing pathways (Figure 2). Zinc is another soil metal and it could decrease the carcinogenicity by increasing the production of the detoxifying enzymes, glutathione S-transferases.
Conclusions
After entering the mammalian cells, akin to cholesterol entering the cell, with the help of enzymes, HMW-PAHs are transformed into epoxides, quinones, and positive ions via the cancer-causing pathways shown in Figure 2 , and these react with the DNA to form DNA adducts causing cancer. Also in the cells are detoxifying enzymes to prevent the formation of DNA adducts by converting the epoxides, quinones, and positive ions into polar, water soluble chemicals that are excreted by the body. There are also DNA repair enzymes that repair the damage to the DNA caused by the DNA adducts. The cancer-causing pathways for the HMW-PAHs and the detoxification mechanisms have interference from chemical and physical factors that could increase or decrease the carcinogenicity of the HMW-PAHs. All of these co-exist together, creating a complex, dynamic environment in the cell exposed to HMW-PAHs. An individual is highly susceptible to cancer when there are more metabolites produced from the cancer-causing pathways than could be detoxified. Cancer occurs when there are significantly more cells damaged by DNA adducts than there are healthy cells.



